中国人民银行3月31日发布公告称,为维护贷款市场竞争秩序,保护金融消费者合法权益,所有贷款产品均应明示贷款年化利率。公告如下:
一、所有从事贷款业务的机构,在网站、移动端应用程序、宣传海报等渠道进行营销时,应当以明显的方式向借款人展示年化利率,并在签订贷款合同时载明,也可根据需要同时展示日利率、月利率等信息,但不应比年化利率更明显。
二、从事贷款业务的机构包括但不限于存款类金融机构、汽车金融公司、消费金融公司、小额贷款公司以及为贷款业务提供广告或展示平台的互联网平台等。
三、贷款年化利率应以对借款人收取的所有贷款成本与其实际占用的贷款本金的比例计算,并折算为年化形式。其中,贷款成本应包括利息及与贷款直接相关的各类费用。贷款本金应在贷款合同或其他债权凭证中载明。若采用分期偿还本金方式,则应以每期还款后剩余本金计算实际占用的贷款本金。
四、贷款年化利率可采用复利或单利方法计算。复利计算方法即内部收益率法,具体示例见附件。采用单利计算方法的,应说明是单利。
五、鼓励民间借贷参照本公告执行。
采用内部收益率法计算贷款年化利率示例
计算贷款年化利率较为公允的方法是,根据借款人的借款本金、每期还款金额、贷款期数等要素,考虑复利后计算得出的年化内部收益率(IRR)。计算公式为:
其中,n为年内还款频率(例如,每月还款一次为12,每3个月还款一次为4,每年还款一次为1),T为还款年数,由此计算得出的IRR即为年化利率。
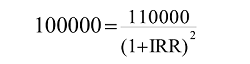
一、到期一次性还本付息类产品
借款人在贷款到期日一次性归还贷款本金并支付利息。
例如,某贷款产品,期限为2年,本金为10万元,2年后借款人一次性还本付息11万元。上述贷款的年化利率约为4.88%,计算过程为:

二、分期偿还类产品
借款人在还款期内,每期需偿还一定数额的本金,并支付实际占用的本金在该期所产生的利息。如使用等额本息或等额本金方式分期偿还的商业性个人住房贷款等。
例如,某个人住房贷款,期限为20年,按月还款,共240期,本金为100万元,采用等额本息方式还款。按照还款计划,从借款后第一个月末起,借款人每月等额偿还本息6599.6元。上述贷款以单利计算的年化利率约为5%。以IRR方法计算的年化利率约为5.12%,计算过程为:

三、收取费用的产品
借款人需在借款当期一次性支付手续费等与贷款直接相关的费用,并在还款期内,分期偿还一定数额的本金和费用。
例如,某消费金融公司贷款,期限为1年,按月还款,共12期,本金为10万元。按照还款计划,借款人在借款当期一次性支付1000元服务费,并从借款后第一个月末起,每月等额偿还8833.3元,其中本金100000/12=8333.3元,分期费(按初始贷款本金的0.5%计算)100000*0.5%=500元。上述贷款以单利计算的综合年化利率约为12.80%。以IRR方法计算的综合年化利率约为13.58%,计算过程为: